La quinta fuerza (3)

(La poesía como entrenamiento de la consciencia)
Imagen: El caminante sobre el mar de nubes de Caspar David Friedrich

A Pilar García Orgaz

Cuando, a veces, me preguntan ¿cómo es que un científico escribe poesía?, siempre contesto que las dos actividades son herramientas del conocimiento. Y,  ahora,  añado que también  lo son para fortalecer nuestra consciencia. Además, no es tan raro que un científico desarrolle  alguna actividad  artística. Por poner algunos ejemplos, Einstein, Pitágoras, Leonardo da Vinci, Ramón y Cajal, Herschel,  Borodín, Feynman, Lovelace y, si nos centramos en la poesía, Goethe,  Lomonósov,  Darwin (el padre de Charles),  Hoffman (premio nobel de química),  Elson,  Blas Cabrera,  Bronowski, Lewis Thomas y tantos otros que la lista sería cansina. 

 La poesía (el arte en general,  aunque me centre en la poesía que es el arte que practico) y la ciencia son complementarias,  la primera usa el lenguaje simbólico y la metáfora y la  segunda el lenguaje experimental.  La poesía activa las áreas cerebrales del significado, la analogía y la emoción. La metáfora no es un adorno es una herramienta para potenciar la consciencia. Einstein decía que las ecuaciones son para la mente y la poesía es para el alma.

 La poesía es un instrumento de atención, percepción y transformación interior. Un poema amplía la atención porque se lee despacio, preferiblemente en voz alta para disfrutar de su ritmo, porque es ambiguo y a cada lector le puede sugerir ideas y sentimientos diferentes. La poesía no explica, despierta.

Cuando escribimos poesía, nos damos cuenta de su magia. Los ladrillos imprescindibles que construyen un poema son el ritmo y los elementos lingüísticos como la metáfora, pero también los símbolos y las imágenes. Hay que decir mucho con pocas palabras, Vicente Huidobro decía que el adjetivo si no da vida, mata. La poesía debe tener sangre en sus venas, tiene que ser vivida, si no es así, los poemas son simples ejercicios que terminan aburriendo.

 Una poesía sin ritmo, es prosa poética. El ritmo es una característica imprescindible del poema, acerca la poesía a la música (por eso las canciones son poemas y no relatos). En mi experiencia, cuando analizo un proto-poema, lo primero que miro es su ritmo, sé que me dará pistas de a dónde se dirige el poema. Las más de las veces, cuando empiezo un poema, no sé a dónde me llevará, no conozco el final. Y sé que su ritmo lleva el mensaje oculto y si quiero avanzar y desvelar lo que me corroe por dentro tengo que revisar ese ritmo.

Es un proceso mágico, de pronto ves que un verso tiene un ritmo diferente al de los demás, entonces me paro, porque en esa situación pueden ocurrir dos cosas. La primera es que ese verso sea de otro poema, proceda de una idea o un sentimiento que no pertenece al cuerpo del poema que estoy escribiendo,  y hay que eliminarlo o guardarlo en un cajón. La mayoría de las veces, esto es lo que ocurre pero hay una segunda posibilidad. Puede suceder que ese verso abra una puerta diferente al poema, que sea una bifurcación del camino que está pidiendo a gritos sitio y que requiere otro tono, otro ritmo. Así aparece una estrofa distinta en su color pero complementaria. Un arco iris tiene seis colores (el añil no existe, es un invento de Newton) y es uno. Lo mismo ocurre con un poema, puede necesitar varios colores, varios ritmos.

 Lo que más me emociona, cuando escribo un poema, es cómo la idea, el sentimiento, se va aclarando cuando ajusto el ritmo. El ritmo en nuestro idioma se basa fundamentalmente en los acentos y la métrica, aunque las pausas, el encabalgamiento, la repeticiones, también son parte de él. Y la rima, claro, sobre todo cuando el poema es una canción ( más tarde comentaré mi relación con ella). Ajustar el ritmo es un dolor de cabeza, mejor dicho de la mente. Normalmente hay que cambiar una palabra para ajustarlo,  y no es tan fácil.  Todos hemos tenido alguna experiencia similar cuando estamos organizando nuestra casa, el salón por ejemplo. Cambiamos un cuadro y eso nos fuerza a mover una lámpara y la lámpara un sofá y el sofá una mesa…  al final hemos cambiado el salón completo.

 Buscar una palabra para sustituir a otra es una situación similar. No vale cualquier palabra, porque puede cambiar el espíritu del poema.  Pero si estás atento, si no has desconectado con la emoción primera que te sugirió el poema,  terminas encontrando la palabra que, probablemente, te obligará a cambiar bastantes más cosas, incluso mover los versos de un sitio para otro hasta que suene un clic rotundo en tu cabeza, un eureka esto era, sí esto era.

 Por eso escribo poemas, porque sé que es una actividad comprometida, una palabra, las palabras no están vacías, significan imágenes, ideas y emociones, hay que tratarlas con respeto, cada palabra tiene su razón y lugar en el poema. Y cuando se unen varias palabras y surge la metáfora te deslumbra y te ilumina al tiempo. Las metáforas hacen reflexionar al lector sobre el significado que pretende el poeta, la sentimos y nos damos cuenta de que nos atrapa en un abanico de significados. Y para el poeta, como acabo de decir, es iluminación pues en la metáfora está el conocimiento que buscaba en sus versos, ampliado con significados inesperados. Y eso no se logra sin el compromiso con la palabra, sin que el poeta se desnude, se viviseccióne con ese bisturí, y si no está dispuesto a ello cae en la mentira, la vacuidad y el narcisismo.

 En resumen, cuando escribimos o leemos poesía nos enfrentamos a la profundidad de la palabra. Esta deja de ser percibida de forma rutinaria, ya no la leemos automáticamente, como cuando leemos un periódico, nuestra atención se hace profunda,  la sopesamos en todos sus aspectos, su significado léxico, connotativo (la emoción de la palabra), contextual, figurado, simbólico, poético….  las palabras tienen muchos significados dependiendo de su entorno. Hablamos con palabras y, con frecuencia, creemos haber dicho algo concreto y hemos desvelado mucho más. 

 Y el ritmo ayuda a reducir la dispersión de nuestra mente. Si leemos un soneto en endecasílabos acentuados en sexta, se produce la musicalidad de un mantra que relaja nuestro sistema nervioso. No es un efecto casual, el ritmo es un medio para captar nuestra atención. Y aprovechando el soneto, en el que su ritmo se apoya además en la rima, quiero decir que , en mi opinión, la rima no es un elemento básico de la poesía. Solo en la canción o en las composiciones clásicas es necesaria. Yo no la uso en mis poemas porque, cuando se golpea mucho el tambor, no deja escuchar la música sutil del poema.

Cuando se escribe o se lee poesía se practica la consciencia. Es una buena manera de ejercitarla, son unas mancuernas perfectas para fortalecer el músculo de la consciencia. Pero las mancuernas deben tener peso, y este peso es el alma del poeta que se ofrece en sus versos. Sin alma, las mancuernas no pesan y el poema será inútil para ejercitar nuestra consciencia.

El poeta ejercita la consciencia al levantar el edificio del poema y el lector al descubrir cómo el poeta compuso la arquitectura y plasmó la información. Ambos ejercicios tienen similitud con la meditación. En la meditación intentamos apagar el ruido de nuestra mente, observando cómo nos bombardean los pensamientos: tengo que pintar la cocina, tengo que hacer esto y lo otro, por qué se enfadó la persona que amo, tengo que llamar al fontanero…  es un ruido agotador que nos hace creer que somos lo que pensamos. Y no, no lo somos. En la meditación ejercitamos mirar a esos pensamientos desde fuera, observar cómo fluyen y desaparecen y vuelven a aparecer otros que dejamos fluir. Nosotros somos el rio, nuestros pensamientos son los peces que nadan en él. Dejando fluir los pensamientos terminamos en un remanso del río donde solo hay agua, donde solo hay yo.

El ejercicio de la poesía es similar en cuanto que para escribirla necesitamos concentrarnos, dejar fluir las ideas para captar las que se ajustan al mensaje  que queremos expresar. Como en la meditación, domesticamos nuestra mente. Y de igual manera,  el lector debe leer el poema con una mente limpia de prejuicios, una mente abierta a ser fecundada por el ritmo y las palabras de otro ser pensante.

 Y para terminar, el ejercicio de la consciencia se realiza de maneras diversas, como artista, como místico, como científico, como artesano… como seres conscientes de que cualquier actividad que realizamos la hacemos despiertos al mundo que nos rodea, liberados de esa parte de nuestro ego que nos ciega.

La quinta fuerza (2)

(Sobre la consciencia)

Lo primero es advertir al incauto lector de que no soy maestro de nada y, sí, aprendiz de muchas materias. Tened la certeza de que lo que escribo no tiene mayor valor que el de la sinceridad de mis pensamientos. Y si mis palabras despiertan en vosotros la curiosidad, me sentiré agradecido y a la vez preocupado por si llegaráis a creer que escondo una sabiduría que no poseo.

En la primera parte de esta divagación traté sobre la quinta fuerza elemental, la consciencia. Quiero aclarar que no hablo de conciencia sino de consciencia. La primera se refiere a la ética de nuestro comportamiento. La segunda, a nuestro estado de lucidez. Son términos diferentes y complementarios. Un ser verdaderamente consciente tiene conciencia, si no la tuviera sería la encarnación del diablo. Quede claro que a lo que me voy a referir a partir de ahora es a la consciencia consciente: a los seres que buscan luz.  La consciencia nos viene dada con la vida, aunque en una cantidad justa para saber que somos y que somos distintos de los otros. Somos yo, y yo soy el yo soy.

La conciencia se adquiere con la educación y, también, con el crecimiento de nuestra consciencia. A medida que esta crece, si no somos seres diabólicos, la conciencia también crece. La conciencia es la parte más sencilla, una vez que se adquiere no necesita de mucho trabajo, solo hace falta ser coherente y vivir de acuerdo a ella. Sin embargo, la consciencia crece y no conocemos sus límites. Y, aquí viene la pregunta,   ¿cómo crece la consciencia?  Una primera respuesta es sencilla, la consciencia crece igual que nuestra musculatura, ejercitándola. Y, ¿cómo la ejercitamos?, los músculos los podemos tocar, crecen y se fortalecen haciendo ejercicio, con unas mancuernas, caminando, montando en bicicleta… haciendo cualquier deporte, ya se sabe “mens sana in corpore sano”.  Pero la consciencia ¿dónde está? ¿Cuáles son las mancuernas que la fortalecen?

Mi formación científica me inclina a las explicaciones de la neurociencia: la consciencia aparece cuando interactúan muchas partes del cerebro de forma coordinada y, ahora fantaseo, se puede extender y quizás trascender al propio cuerpo. Los budistas creen que la consciencia no está contenida en el espacio y es previa a la mente y al cuerpo, yo, que no llegó a la altura de la suela de la zapatilla de Buda, pienso que todo está contenido en el espacio-tiempo, incluso la consciencia. Pienso que al igual que no vemos la gravedad, solo observamos sus efectos, tampoco vemos la consciencia, solo su producto que somos nosotros, nuestra mente pensante que nos dice “existes”. La tendencia antropocéntrica de los seres humanos nos hace pensar que nuestra consciencia está fuera de la “sucia” energía-materia, y decidimos que nuestro yo es espíritu, es alma.

La física, ya define a tres de las fuerzas elementales como cuánticas, es decir formadas por unidades infinitamente pequeñas, mejor dicho unidades muy pequeñas, porque como Demócrito definió hace 2.300 años, nada es infinitamente pequeño, y en los últimos años, se comienza a entrever que la gravedad también puede estar formada por partículas cuánticas. Por tanto, si afirmo que la consciencia es una quinta fuerza elemental, no veo otra estructura posible más que una estructura cuántica, como las de las otras fuerzas elementales.

La segunda pregunta, el cómo fortalecer esta consciencia cuántica, es más sencilla de responder. No hay más que volver los ojos hacia Buda y el budismo, que  desarrolló técnicas muy eficientes para el trabajo con la mente: la meditación, o las meditaciones pues hay diferentes formas de practicarla, observando nuestra respiración, repitiendo mantras, visualizando los colores de los siete chakras…  También la atención plena (mindfulness) de origen budista, que fue introducida en occidente en los años 70 del pasado siglo por el Dr. Kabat-Zinn, y la respiración consciente y el silencio, mucho silencio para dejar de vivir automáticamente y hacerlo con consciencia plena. No es mi intención, en este artículo, enseñar estas técnicas, hay cientos de libros, vídeos y podcast que enseñan cómo practicarlas. También hay maestros, aunque maestros verdaderos hay pocos. La elección de un maestro o maestra es muy delicada. Hay indeseables que utilizan el hambre de conocimiento, el misticismo, para enriquecerse de forma impropia. No creo que Jesucristo o Buda pidieran dinero por sus enseñanzas. Intento imaginar a Jesucristo en el Sermón de la Montaña diciéndole a Pedro “pasa la escudilla y el que no pague un denario, échalo de mi lado” y no me cuadra. Con esos maestros o maestras lo mejor es poner tierra de por medio. 

Aparte de estas herramientas desarrolladas para fortalecer nuestra atención, también tenemos la cultura que nos libra de la ignorancia y de caer en manos de iluminados. Las artes, la filosofía y la ciencia no son enemigas del misticismo. Las artes son un atajo a lo místico,  la experiencia estética se salta el razonamiento lógico para conectarnos directamente con lo inefable.  Al contemplar una obra maestra o una pieza musical, se puede experimentar el éxtasis (queda claro que no hablo del reguetón),  el guirigay de nuestra mente se silencia un instante.  El lenguaje místico suele ser paradójico porque intenta describir realidades que están más allá de las palabras. El arte utiliza el símbolo y la metáfora para comunicar lo que el lenguaje literal no puede. Este paralelismo hace que el arte nos acerque a lo místico. Y la filosofía y la ciencia son la brida que sujeta y refrena un misticismo dislocado.

La ciencia es hija de la filosofía, cuando no había instrumentos ni laboratorios donde investigar, el ser humano pensaba sobre el sentido de la realidad, en el bien y en el mal, en cómo razonamos y cómo es el cosmos que nos rodea. Al principio los filósofos eran también científicos, Pitágoras, Aristóteles, Descartes… En el siglo XIX la ciencia se separa de su madre, la filosofía, y comienza su propio camino,  el del pensamiento científico. Esta nueva forma de abordar el conocimiento es uno de los grandes logros de la humanidad y trae otra luz que nos previene de la oscuridad y de la superstición.  Cuando escribo, otra luz, es porque sigue existiendo la primera, la filosofía que no debemos descuidar.

Aunque está en cuestión si existe un método científico, si es seguro que hay un pluralismo metodológico que tiene unos rasgos comunes en todas la áreas de la ciencia:  el control empírico, que implica que las teorías tienen que comprobarse experimentalmente, y la actitud crítica, la ciencia no confirma creencias, la ciencia no tiene fe y sabe que muchas veces se equivoca, la ciencia vive en la duda. Es cierto que algunos científicos desarrollan una enfermedad del intelecto que se llama cientifismo, que se resume en afirmar que la única forma de conocimiento es la ciencia. Y se confunden, hay otra forma, complementaria, de adquirir conocimiento y  es la consciencia.

Sin embargo, la reacción actual contra el cientifismo, el acientifismo, me parece más preocupante y peligrosa. Considerar la ciencia como algo perverso me sorprende profundamente. Que en el siglo XXI haya gente que cree que la Tierra es plana, o que las vacunas son malas y la tecnología diabólica, y no se paran a pensar que a principios del siglo XX la esperanza de vida en España era de 30-40 años (ahora está en 83) y la mortalidad infantil  era de 1 cada 14 niños (ahora es de 1 cada 1800), me parece perturbador. Es un retroceso a lo más oscuro de la Edad Media.

La ciencia no es incompatible con el misticismo y éste no lo es con la ciencia. Es agotador que los seres humanos busquemos siempre los extremos: cientifismo contra acientifismo, o una herramienta o la otra, cuando las dos son complementarias y nos hacen más conscientes. La ciencia ha demostrado que los métodos de trabajo mental como la meditación y el mindfulness tienen efectos evidentes sobre el cerebro y sobre el desarrollo del cerebro. La ciencia hizo su trabajo, demostrar una teoría con la experimentación.  La mística ya lo sabía pero la ciencia nos dió detalles de la forma en que la práctica de la meditación modifica el lóbulo frontal del cerebro y , seguramente, ese conocimiento será útil para la mejora de una técnica que estaba restringida al misticismo.  Sin embargo, la ciencia se lleva mal con la religión, porque la religión parte de un término conocido como fe que es absolutamente contrario al pensamiento científico. Como ya he dicho, en la ciencia no existe la fe, existe la experimentación y la demostración de las teorías a base de medir los efectos de esa teoría y comprobarlos.  La ciencia no tiene fe, lo que mueve a la ciencia es la duda, repito. Por eso, veo muy complicado que un científico serio tenga fe.

La ciencia no es una herramienta diabólica, per se.  Pero si el científico no tiene ética, no tiene conciencia, su trabajo científico se convierte en una herramienta peligrosa. Tenemos bastantes ejemplos en el siglo XX.  A principios de ese siglo, el premio nobel Fritz Habber desarrolló junto con Carl Bosch un proceso para obtener nitrógeno del aire que cambiaría la agricultura del mundo. De pronto, un nutriente escaso como era el nitrógeno, componente básico de los fertilizantes, pasó a ser increíblemente abundante. Aquel hallazgo permitió incrementar la producción agrícola espectacularmente, evitando hambrunas y permitiendo el crecimiento de la población humana a una velocidad inimaginable pocas décadas antes. Pero Habber, también, participó en la mejora y creación del gas mostaza.  No solo mejoró su producción, sino que se fue al campo de batalla en la Primera Guerra Mundial para comprobar sus efectos. Y para terminar de compensar el beneficio que proporcionó a la Humanidad con su proceso para sacar nitrógeno del aire, inventó el gas Zyklon B con el que los nazis exterminaron a millones de judíos en las cámaras de gas. Fue un horrible sarcasmo pues Habber era judio. Es uno de los ejemplos de un científico sin ética, pero hay bastantes más, por desgracia.

Otro que me perturbó mucho es el de Einstein. Yo admiraba a Einstein, hasta que visité el Museo Memorial de la Paz de Hiroshima, un lugar en el que la gente entra hablando y sale muda, absolutamente muda de la impresión tremenda que produce en los visitantes. Allí se evidencian los horrores de la energía nuclear cuando no hay ética.  Lo que más me impactó en el museo – sin aminorar el horror que exibe – fue la carta de 1939 de Einstein a Roosevelt en la que advertía al presidente estadounidense del potencial nazi para crear bombas atómicas, y le urgía a acelerar el proyecto Manhattan. Einstein se arrepintió de haber firmado esa carta, cuando el horror de las dos ciudades barridas del mapa y de los cientos de miles de muertos y enfermos por la radiación pesaron sobre su conciencia. Es difícil juzgar desde el futuro, sin haber vivido aquella época, pero, sin duda, es otro ejemplo de ciencia sin ética.  La energía nuclear no es mala per se,  puede solucionar todos nuestros problemas energéticos, sobre todo cuando terminen de ser operativas las plantas de energía de fusión, incluso nos puede salvar de algún asteroide que pudiera impactar en la Tierra.  La ciencia no es mala, los que son malos somos los seres humanos cuando la utilizamos para el horror.

No todos podemos ser físicos cuánticos o estar en primera línea de la bioquímica, la astronomía o de la matemática pero creo que es importante para el desarrollo de la consciencia estar enterado de por dónde anda la ciencia,  el rechazo a la ciencia es un gran error que puede llevarnos a creencias absurdas y al  fundamentalismo de las religiones y de las sectas.

El desarrollo de nuestra consciencia no es posible sin la coherencia, la coherencia es la ética aplicada a nuestra forma de vivir.  Es muy difícil la consciencia conciente si nos dedicamos a labores como la fabricación de armas o a hacer dinero con la especulación, por poner dos ejemplos. Hay que tener disciplina en nuestra vida, hay que ser coherentes, sin esa coherencia todo lo que hagamos en la evolución de nuestra consciencia será narcisismo. 

La consciencia también se desarrolla con el arte, como ya he escrito. Y entre las artes, la literatura es una gran herramienta porque usa la palabra, que es el cimiento del pensamiento humano, y la escribe permitiendo que perdure y, así, nos sea posible conocer las ideas de los profetas, de los pensadores como Lucrecio, Aristóteles, Galileo, Kant, Marx… de todos los que han utilizado su cerebro para entender el Universo, nuestra mente, sus pensamientos y sus emociones. Y la música que es la palabra escrita de la magia. Todo este conocimiento nos ayuda a huir de la estupidez y de la maldad.

***

 Mientras escribo estas líneas me invade la tristeza, el desánimo de unos meses complicados y pienso que a mí qué me importa la consciencia, aunque sea una consciencia cuántica. Me invade la rabia del dolor, del pequeño dolor de estos días y el desánimo de saber que estoy más cerca cada día de que mis átomos se dispersen en el éter. Y dentro de un rato, volveré a la carga, como en la montaña, a medio camino, incluso cerca de la cima, te asalta ese desánimo,  porque tus fuerzas desaparecen y el aire no llega a tus pulmones. Y entonces sigo subiendo, sin fuerzas, sin aire, porque quiero ver el horizonte desde la cúspide de esa montaña. No entiendo por qué, es algo que me empuja hacia arriba y que cuando vuelvo al llano me colma. Así es el trabajo para conquistar la consciencia, es esa generosidad que decía en el primer capítulo la que me empuja a pensar y a trabajar en ella. Buscar una luz que te ilumine sabiendo que para ti se apagará, pero con la ilusión de que esa luz sirva a los que te siguen. Y a veces, esa ilusión parece ilusa.

La quinta fuerza

La física se ha dedicado a estudiar cómo funcionan las cosas. La física cuántica se especializó en estudiar el microcosmos, con la esperanza de entender el Universo. Se definieron cuatro fuerzas elementales: las dos fuerzas nucleares, la fuerza electromagnética y la gravedad. Nuestro conocimiento ya nos permite manipular en cierto grado las tres primeras y, a no mucho tardar, aprenderemos a manipular la gravedad.

Imaginemos que nuestro grado de conocimiento se desarrolla hasta el punto de que fuéramos capaces de manipular las cuatro fuerzas a escala ahora inimaginable: detener o controlar la evolución de nuestra estrella, plegar el espacio-tiempo. Todo esto es, por ahora, ciencia ficción, pero no olvidemos que la literatura de ciencia ficción es realmente literatura de anticipación. Estoy convencido de que esos logros se conseguirán en nuestro planeta o en cualquier otro de los habitados, donde es posible que ya lo hayan hecho.

Es decir que la inteligencia, la consciencia y la voluntad podrían influir de forma determinante en la historia del Universo o de los universos. Por eso pienso que las fuerzas elementales están incompletas, al menos falta una que en el origen del Universo no existía, pero que aparece a lo largo de su evolución. Y es la consciencia, que cuando nace la vida nace con ella y posee inteligencia y voluntad. Esta quinta fuerza, en un principio de efectos insignificantes, crecerá, crece exponencialmente a medida que la consciencia de un ser vivo aumenta, y el número de seres crece, hasta crear sociedades, civilizaciones y civilizaciones  conscientes. Y partiendo de la certeza de que en el Universo hay abundancia de planetas con vida y, con la misma certeza, de planetas donde la consciencia apareció y se desarrolló, es más que posible que esa consciencia, en algunos de ellos, ya esté influyendo en las cuatro fuerzas elementales de la física. Estas razones me hacen pensar que habría que incluir una quinta fuerza en el pensamiento cuántico. En mi poema “la fórmula” ya apunté la idea que ahora intento desarrollar.

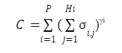
Esta fuerza sería la Consciencia Universal y no me resisto a buscarle una fórmula, que aunque no afecta a mi idea, viste mucho.

donde:

C: Consciencia Universal.

P: Número total de planetas en el Universo.

Hi: Número total de habitantes en el planeta i.

σi,j: Nivel de consciencia individual del habitante j en el planeta i.

Para que sea más fácil de entender, podemos dividir la ecuación en sus dos componentes:

  • Consciencia Planetaria (Cplaneta): representa el sumatorio de las consciencias de todos los individuos que residen en un planeta específico.
  • Consciencia Universal (C): es el sumatorio de los resultados de cada planeta y los suma entre sí.

 

Podemos completar la fórmula añadiendo algunos factores de corrección, la consciencia individual de dos individuos no es lineal, cuando pensamos en equipo, la suma de nuestros conocimientos es siempre mayor que la suma aritmética de los conocimientos individuales, lo mismo ocurre con la consciencia, por lo tanto, añadiría un factor de sinergia (γ). También se podría considerar la consciencia no biológica, la hipótesis Gaia, pero como me cuesta creer en ella, no la incluiré. Para introducir el factor de sinergia  (γ), debemos transformar la suma lineal en una función donde la interacción entre las partes genere un valor añadido. En sistemas complejos, la sinergia implica que la consciencia colectiva crece de forma no lineal (exponencial o multiplicativa) a medida que los individuos se conectan.

Con el factor de sinergia, la fórmula quedaría así:

donde γi   es el exponente de sinergia planetaria. En lugar de una suma simple, elevamos el sumatorio de los habitantes de un planeta a una potencia. Si γi = 1, la consciencia es puramente aditiva. Si γi > 1, existe una resonancia colectiva (el grupo es más consciente que la suma de sus individuos). Esto se conoce como la inteligencia de enjambre.

Y, por último, también podría ocurrir una sinergia entre los planetas conscientes a través del cosmo. Para incluir esta posibilidad, introducimos un  factor de sinergia universal (γu)  que multiplica la suma de todos los planetas. De esta manera, la Consciencia Universal sería:

Disculpa querido lector de mi página, buscas versos y te ofrezco fórmulas. Fórmulas que presentan varias dificultades, la primera es cómo medir sigma, la consciencia individual, la segunda es determinar o relacionar el valor C con su efecto sobre las fuerzas elementales. Desde luego no son lo más importante de mi argumentación ya que, al fin y al cabo, lo que intenta decir es que en algún momento se despertará una consciencia universal capaz de dominar a las primeras cuatro fuerzas elementales, capaz de gobernar el Universo.

Y, para mí, lo trascendente es saber qué sentido tiene el nacimiento de la consciencia en el Universo. El Big Bang se expandió como una energía informe, en la que ni siquiera había átomos, era un plasma caótico del que surgió una primera organización de la masa y la energía, el primer átomo, el hidrógeno y, a partir de él, todos los átomos que Mendeleiev recogería en su famosa tabla. Y de esos átomos nacieron las estrellas, los planetas, las galaxias… el Universo que ahora vamos desentrañando.

Esa perfecta organización que mantiene unidas las piezas de un sistema planetario o de un cúmulo de galaxias, surge de un estado cuántico inicial que es puro azar y de ese azar en lo microscópico nace en lo macro una organización perfecta, que hace pensar a muchos en un plan establecido por un Dios omnipotente.

Yo no creo que ese Dios exista  (y no me refiero a los centenares de dioses creados por los seres humanos para escapar del terror que nos produce nuestra mortalidad ), porque un ser omnipotente que creara un ser consciente, consciente de su fragilidad y su segura muerte, sería un Dios omnipotentemente sádico.  Y, sin embargo,  es indudable que lo que aparece en el Universo, sus cuatro fuerzas elementales, por ejemplo, tiene una razón, una función determinada: juntar las partículas subatómicas para que aparezcan átomos, y después estrellas, estabilizar los sistemas planetarios, y así sucesivamente hasta llegar a la inimaginable dimensión del Universo actual.

Y, en este Universo aparece la consciencia, que considero una quinta fuerza elemental nacida de las otras cuatro fuerzas, nacida para algo que, sin duda, es tan trascendente como la función de las otras fuerzas. Un Dios omnipotente no necesita nada que lo complete, ninguna compañía que lo entretenga, y, si la creara tal como la conocemos y sufrimos, sería, como ya he dicho, de un sadismo infinito. Si la consciencia nace y crece y se extiende en la miriada de planetas habitados, es seguro que tiene un sentido en la evolución del Universo, que “le sirve” para algo, porque lo que no sirve para nada no existe o se extingue.

En mi opinión, el Universo “quiere” ser consciente y nuestras pequeñas consciencias son los escalones que formarán la gran consciencia universal. Solo a través de la vida el Universo podrá ser consciente. Hay creencias que pregonan que lo insensible, los cristales, los planetas, las estrellas son conscientes, en fin, que el Universo ya es consciente. Es Dios. Entonces, para qué originar vida consciente, con voluntad para hacer. Insisto, sería de una crueldad inconcebible, innecesaria. Lo inerte no es consciente, la consciencia solo es posible en los seres vivos. El Universo inerte sería una placenta donde se gesta la consciencia. 

La consciencia no crece solo con el número de seres conscientes, es necesario que esos seres aumenten su consciencia,  pues el saberse vivo no es suficiente, es necesario saberse vivo y conocer la razón de esa vida y aceptar que aunque nuestra consciencia individual, por muy poderosa que pudiera llegar a ser, se extinguirá cuando se disgreguen nuestros átomos. Dejará sitio a nuevas consciencias, en cuerpos nuevos que suban un escalón más en esa escalera hacia la Consciencia Universal. Ser conscientes se logra con gran esfuerzo, porque requiere de un exigente y tenaz entrenamiento mental, y de una gran generosidad por saber que nuestro esfuerzo no repercutirá en nosotros mismos sino en la abstracta Consciencia Universal.

Esos seres conscientes y generosos formarán sociedades conscientes que evolucionarán a civilizaciones conscientes. Se podría pensar que tanta generosidad no es propia de un ser vivo condenado a muerte, que es mejor el carpe diem, quemar las velas y los prostíbulos y las tabernas, disfrutar hasta morir de tanto disfrute porque eso es lo que te vas a llevar ¿ A dónde?

En realidad no se trata de generosidad, sino de la única forma de que las civilizaciones sobrevivan, porque, como ya he dicho, lo que no tiene utilidad en el Universo se extingue. Y las civilizaciones no conscientes no la tienen. Se extinguen de diversas formas, matándose en guerras absurdas por conseguir un trozo más grande de la tarta, bien sea de su planeta o de una confederación interplanetaria, o agotan sus mundos hasta hacerlos inhabitables y desaparecen con ellos como lo hace una estrella que termina su vida y deja un agujero negro que lentamente libera su energía y su materia para que sea mejor utilizada.

“seremos conscientes

para que nazca el Ser

que hubiéramos querido

como nuestro creador”

El hilo de oro y la sombra del alma

Henri Matisse – óleo sobre lienzo – 116 x 80 cm – 1912 – (Pushkin State Museum, Moscow, Russia)

Este relato se publicó en el libro «MAÑANA SERÁ OTRO DÍA, X PREMIO INTERNACIONAL DE RELATOS PATRICIA SÁNCHEZ CUEVAS» que patrocina la empresa SIKA. En el libro se recogen los relatos premiados y algunas colaboraciones de escritores invitados, entre las que está este cuento.

Salah le había vendido media tienda, podía vestir a su mujer y a sus hijas como a cualquiera de las mujeres y niñas árabes con las que se cruzaba en su avergonzada huida del zoco de la Ciudad Vieja. El palestino lo había derrotado en su terreno, sin embargo, no le importaba demasiado, desde el principio había deseado esa derrota.

Salah se sentía victorioso por haber desplumado al cristiano de Europa, aunque al final hubiera tenido aquella debilidad, seguramente fruto de la mirada limpia del extranjero. Intuía que una victoria tan fácil encerraba una trampa: había cobrado los tejidos, pero olvidó poner precio a la sombra de su alma, que ahora se alejaba revuelta entre las blusas, en forma de kufiya, encerrada en la bolsa de plástico que se llevaba Samuel. Pero ¿no era así siempre?

– Ven, entra en mi tienda, eres mi primer cliente, ven…- la voz de Salah no había sonado a invitación, sino al saludo urgente que se da al invitado que llega tarde a la cita. Samuel, que estaba en la esquina y pudo haber seguido su camino hacia el Muro de las Lamentaciones, se acercó.

– ¿Por donde se llega al Muro? – preguntó en un intento por encontrar la disculpa que lo librara de aquel hombre sin ofenderlo.

– Allí también están las dos mezquitas, pero todavía es temprano, ahora es mejor que entres y te tomes un café conmigo. Te gusta el café árabe, ¿verdad?

– Sí, pero…- su mirada se paseó por los seis metros cuadrados repletos de vestidos, blusas, keftanes, palestinas, pañuelos, rosarios y collares, tanto colorido como en una vidriera medieval. Salah no perdió la oportunidad.

– Bonitas – dijo eligiendo una blusa de algodón tejida por las mujeres de su pueblo, – seguro que tienes una amiga a la que la haría muy feliz.

– No, hombre, yo no tengo amigas – respondió Samuel enseñando el anillo de oro en su mano derecha.

– Mejor, mejor. Entonces tendrás esposa y bellas hijas.

Salah acercó la banqueta de plástico a Samuel y colocó una manta a modo de cojín para que el cliente se sintiera cómodo. Su abuelo lo había enseñado que para conocer a un hombre se necesita tiempo, y que nadie aguanta el suficiente si tiene las posaderas frías o doloridas. Y ¿cómo se le puede vender algo a alguien que se desconoce? Ni siquiera merecía la pena, ya lo decía el profeta “Dios proporciona el sustento mediante las relaciones mutuas”.

– Siéntate aquí y espera, voy a pedirle a mi amigo que nos traiga café – lo decía mientras con las manos, casi sin tocarlo, iba dirigiendo los movimientos de Samuel hacia la banqueta.

El mercado de la Ciudad Vieja le recordaba, en cierta forma, a los malls americanos. Aquellos eran fríos, limpios, luminosos, y nunca se hubiera sentado a la puerta de una tienda de Benetton con un dependiente, como ahora hacía. Aquí la luz se filtraba desde las claraboyas abiertas en las bóvedas; todo era estrecho, abarcable con los brazos, y la limpieza era algo relativo. Aunque también hacía frío, la frescura era el anuncio de un día cálido y no el producto de una máquina termorreguladora. Salah volvió y se sentó enfrente de Samuel, sobre el escalón de entrada. Su boca sonreía continuamente y no paraba de moverse, era el corifeo de sus palabras, pero sus ojos permanecían inalterados, escudriñando los del otro como una cobra lo hace con su presa.

– Tú pareces árabe, hermano ¿italiano?

– No, español, de Córdoba ¿Conoces Córdoba? – respondió Samuel.

– Ya te lo decía: hermanos. Seguro que tu abuela hablaba árabe. – Samuel rió con ganas la ocurrencia de Salah. ¡Su abuela hablando árabe! Si la pobre levantara la cabeza, con la manía que les tenía. – Yo nunca engaño a los hermanos. Si fueras americano te ofrecería esto, – Salah señaló la bisutería que colgaba de una pared – pero a ti no te lo haría nunca.

– Ya, ya – ironizó Samuel.

El comerciante cambió su sonrisa por una expresión dolida, casi de enfado. No comprendía que no lo creyera, él era sincero con los hermanos españoles, chipriotas y griegos. A los otros, a los alemanes o a los americanos, nunca les dedicaba tiempo, no lo merecían y, desoyendo el consejo de su abuelo, hacía lo posible por que se fueran rápido. Con ellos no había esperanza de tener una conversación sabrosa.

– ¿Turismo? ¿Vienes a ver la tierra de Jesús? – en su rostro ya no se reflejaba ningún rencor, la sonrisa volvía a ocupar su lugar.

– No, negocios. Soy vendedor como tú.

– ¿Qué vendes a los judíos? – y enseguida añadió – No tengo nada contra ellos, ni contra los cristianos. El Profeta dice en su libro que debemos creer también en Jesús y en Abraham.

La guerra santa estaba reñida con los negocios y su aspereza, al mencionar a sus enemigos ancestrales, fue corregida con soltura.

– Samuel, tú me tienes que mirar a los ojos. Mis ojos no mienten son dos lagos transparentes. Pero, como dice mi esposa, mi boca es la de una cobra, siempre engañando. Soy comerciante, como tú, lo llevo en mi sangre. Pero, mira mis ojos. – Lo decía mientras con su mano sujetaba del hombro al turista y lo obligaba a mirarlo directamente a las pupilas. Una cobra, pensó Samuel. Un cabritillo, pensó Salah.

Mientras caminaba alrededor de la muralla, desde la Puerta de Jaffa a la de Zion, recordaba con desasosiego las blusas, la kufiya, el velo, el vestido bordado con hilo dorado – por lo que había pagado podrían ser de hilo de oro todos los pespuntes del telar que arrastraba -, pero la luz o, quizá, la piedra le alegraron su ahorrativa conciencia y Samuel empezó a disfrutar con el recuerdo que había “pescado” en este viaje. Cruzó por el parque Bonei Yerushalayim y se dirigió al hotel King David, era un lugar histórico, en 1946 el Irgún Tzvaí puso una bomba que mató a más de noventa personas, dieciséis de ellas judíos. Fue un daño colateral por la independencia. Desde allí, caminó hasta el Dan Panorama, donde se había alojado, para recoger su equipaje.

En la recepción del hotel también olía a café. No era el sabor dulzón del café árabe, sino el amargo y tostado del café americano. Hasta en esos pequeños detalles, la experiencia en el zoco se diferenciaba de la realidad cotidiana.

– Shalom – saludó al recepcionista que lo había atendido la noche anterior. Un rockhudson de ojos claros y tez oscura con una sonrisa muy tierna.

– Buenos días, señor – le respondió en un español con acento argentino – ¿Durmió bien esta noche? El cuarto tenía unas vistas fantásticas. Es sólo para clientes especiales.

– Se lo agradezco mucho – a Samuel lo ponía nervioso la sonrisa sugerente del recepcionista. Si tuviera tanto éxito con las recepcionistas, tendría un harén desperdigado por los hoteles del mundo – ¿podrían bajarme el equipaje?

Salió a fumar, desde el hotel se veía un hermoso panorama de la Ciudad Vieja. Recordaba las palabras de Salah, “tienes que fijarte en mis ojos, haz caso a mi mujer, es sabia” y cómo no paraba de moverse mientras hablaba, eran movimientos lentos que aparentaban calma, aprendidos tras muchos años de másteres en las calles: organizaba la ropa que pronto le enseñaría, buscaba con los ojos algo para la hija menor, se le acercaba. Todo con tal parsimonia que las palabras ocultaban sus movimientos y, entonces se dio cuenta de la rara habilidad de Salah y del porqué del desasosiego que sentía cuando, de tiempo en tiempo, durante la conversación, recuperaba la percepción del espacio. Los cambios en la posición del anfitrión eran casi mágicos, cada vez más cercano, cada vez con más información valiosa de su carácter y él cada vez con menos opciones de escape.

– ¿De dónde es? – el taxista interrumpió sus pensamientos.

– España – Samuel se sentía lacónico, no quería volver a Occidente de una forma brusca, la conversación de la mañana con Salah lo había transportado a un mundo desaparecido, donde Al Rashid gobernaba sobre los destinos de aquel comerciante.  

 – Vigovigo…- continuó el taxista.

– Perdón – No entendía lo que quería decir con vigovigo.

– ¡El Celta, le dio a la Fiorentina ¡- soltó el taxista – Jugaron bene, benissimo.

La madre que lo trajo pensó Samuel. El buen hombre lo puso al día sobre la Liga española de fútbol. Conocía a bastantes más jugadores del pasado y del presente que él. La táctica era familiar para Samuel, aquel taxista no había conocido a Harum Al-Rashid y, como mucho, pensaría que Scherezade era un grupo rock. En su vida había muchos taxistas como éste – así, a las claras intentando hacer negocio sin dar nada a cambio – y pocos Salah.

– ¿Lo llevo a algún sitio?

– Pudiera ser- Samuel intentó negociar el precio, pero sus argumentos sobre si la limusina era más barata y que si le ofrecía mejores condiciones se lo pensaba, le granjearon una respuesta que, después de la larga conversación en el zoco, le pareció fría.

– Pues váyase en limusina – después, para suavizar sus cortantes palabras, el taxista añadió – ¿Qué le voy a hacer? El taxi no es mío y tengo que poner el contador.

Samuel le devolvió un todavía más frío “espéreme aquí” y se dirigió a la recepción. Iba pensando que tampoco había que pedirle peras al olmo, el pobre hombre hacía su trabajo y nada más. No podía esperar un cuento oriental en cada conversación que iniciaba. Eso sólo ocurría a veces y se podrían definir como regalos inesperados.

Recogió su equipaje y le dio diez shekels de propina al mozo. El taxi recorrió las congestionadas calles de la ciudad. En su interior el programa era el consabido: fútbol, fútbol y fútbol. Solo cuando alcanzaron la autopista de Tel Aviv, y ante el recalcitrante silencio de Samuel, el taxista decidió callarse y concentrarse en que el vehículo no se saliera de la sinuosa carretera que ascendía y descendía por los Montes de Judea en busca de la llanura de Sharon. Samuel quedó al fin solo con sus recuerdos y el abrupto y seco paisaje.

El café se retrasaba, pero a Samuel no le importaba, empezaba a desear que todo ocurriera lentamente. Salah seguía gesticulando mientras le explicaba que también estaba casado y que tenía cinco hijas.

– Tú, tres y yo cinco. Yo he trabajado más – rió -, porque tú debes tener cuarenta y cinco.

– Cuarenta y cuatro ¿Y tú?

– Treinta y ocho – y repitió algo ufano –, en menos tiempo más hijas, más alegrías.

– O más dolores de cabeza – rieron los dos, Salah levantó la mano ofreciendo su palma a la de Samuel. Las entrechocaron, pero Salah retuvo, por primera vez, la mano de su cliente. Sólo unos segundos, los suficientes para que Samuel se sintiera turbado. En su tierra no se hacían manitas, así como así, entre los hombres.

– Bueno que te parecen esta blusa – extendió la prenda blanca de algodón adornada con flecos que antes le enseñara. Era agradable al tacto y Samuel pensó que le sentaría bien a su mujer. El comerciante le quitó la blusa de las manos.

– Mira, fuerte como las manos de la abuela que la tejió – Salah decía las palabras lentamente, mientras retorcía la tela, intentando escurrir una humedad imaginaria. Desde luego era resistente, aunque Samuel pensó que, si seguía retorciéndola, tendría que sacarle otra pieza.

– ¿Cuánto costaría esto en tu país? – la pregunta de Salah sorprendió a Samuel, se reconocía a él mismo pidiéndole el precio de sus competidores a los clientes que visitaba. Al fin y al cabo, él era también un vendedor. Vendía medicamentos y, como decían los manuales de marketing, daba igual lo que se vendiera, las técnicas se asemejaban. Y ésta era sencilla: un precio es un punto de partida.

– Unos cuarenta dólares – respondió, tirando por lo alto, sin pensarlo dos veces y sabiendo que estaba haciendo el idiota.

Salah se sonrió, “éste no sabe comprar ni vender” pensó. Normalmente la gente le decía veinte dólares y él tenía que comenzar con sus aspavientos, decir que si vendiera a esos precios no podía alimentar a su mujer ni a sus cinco hijas, y que la pequeña necesitaba de muchos cuidados porque le había nacido con una cadera enferma, y aquello era verdad y recordarlo lo apenaba. Pero este extranjero se lo ponía muy fácil, o quizá demasiado difícil.

Salah tasó la primera en treinta dólares o ciento veinte shekels que, al cambio real suponían treinta y tres dólares como las famosas monedas de la traición.

– ¿A un hermano le harás un buen descuento? – negoció Samuel.

– Ya te di un buen precio. En tu país hubieras pagado cuarenta, quizá cincuenta – y sonrió sugiriendo que a lo mejor Samuel lo había engañado un poco -, yo te pido sólo treinta, es justo.

– No, no, es demasiado elevado.

– No te arrepentirás – el comerciante estrujó de nuevo la blusa entre sus manos -, es bueno, durará. Si quieres lo que se llevan los americanos, te puedo ofrecer estos pañuelos. Pero no, tú no debes llevar esto a casa.

– Es bonito, pero un poco caro. Te doy veinticinco.

Salah había conseguido una buena posición, ahora el caso era completar el ajuar.

– ¿Qué edad tienen tus hijas? – preguntó

– Doce, diez y cinco – Samuel había perdido el hilo de la negociación, fue sólo un momento, esas tácticas las empleaba con sus clientes. Por supuesto, no solía preguntar por los hijos del jefe de compras, pero siempre había una noticia política o económica que podía servir. El comerciante le había traído el rostro de las niñas a la memoria y el truco había sido eficaz.

Salah se agachó y recogió dos blusas iguales, más pequeñas que la destinada a la madre. Le preguntó por el tamaño de las niñas.

-Así – Samuel levantó la mano a la altura de su hombro – las dos mayores y así de anchas.

– No, no, a las mujeres no se les mide la anchura, hay que medir esto… – Salah se puso las dos manos delante, como si sostuviera dos pechos pequeños. No fue un gesto procaz, sino tímido y enseguida retiró sus manos.

El comerciante le ofreció las dos blusas por cincuenta dólares, así no habría envidias entre las dos hermanas.

– Ya sabes si llevas dos cosas distintas, cada una querrá la de la otra.

– Está bien, pero ¿te puedo pagar en shekels?

– Son buenos también, trescientos veinte shekels por las tres blusas es un magnífico precio, has hecho un buen negocio, Salah es débil y su mujer lo llamará estúpido esta noche. – Mientras hablaba guardaba las dos blusas en una bolsa de plástico que podría haber servido para llevar frutas o zapatos.

Un joven que portaba una bandeja de cobre con dos vasos de café interrumpió la conversación. Le pidió disculpas a Salah por la tardanza. Acababan de abrir y no había café molido.

– Vosotros los cristianos – dijo Salah apurando el fondo de su taza – no sois sinceros, cuando queréis otra mujer, la tomáis a escondidas, como la raposa roba las gallinas. Imagínate que un día mueres – y enseguida agregó – ¡Alá no quiera que sea pronto! Pero imagínate a tu esposa y tus hijas llorando en la iglesia. Entonces se abre la puerta y entra la otra con un niño pequeño. Tu esposa diría cosas malas de ti. Nosotros no actuamos así, si queremos a otra mujer nos casamos con ella. Así es más justo, más sincero.

– No está mal, pero qué pensarán las mujeres, porque dos en una misma casa traerán muchos problemas – Samuel respondió con una media sonrisa.

– La mujer es lista, al final se hacen amigas- sentenció Salah.

Samuel hizo ademán de levantarse, la conversación había durado casi una hora y le apetecía ver alguna tienda más antes de visitar la explanada del muro. Pero Salah lo detuvo sujetándolo la mano.

– Todavía tienes que llevar algo a tu hija pequeña, ¿Y tú mujer? Deberías llevarle algún detalle más ¿No querrás arruinar tu primera noche de vuelta? 

– Hay otras tiendas. Quisiera ver más cosas.

– ¿Tan mal te ha tratado Salah, que quieres ir a otro? – y con gesto de enfado añadió – pues ve a aquel, es sirio, ve, ve y sólo te ofrecerá cosas hechas en Inglaterra. – Mientras hablaba no soltaba la mano de su cliente, al principio la sujetaba con cierta fuerza, pero poco a poco fue aflojando la presión para terminar siendo un contacto amigable que pretendía trasmitir confianza.

Samuel no pudo levantarse, antes de que pudiera protestar tenía un velo, un vestido bordado con hilo de oro, una kufiya de regalo para él y otra blusa para su hija pequeña envueltos y guardados con las otras blusas en tres bolsas de plástico.

– Ya me he gastado mucho – suspiró.

– ¡Oh! Si esto es una bagatela, apenas mil shekels por tanta felicidad para tus mujeres ¿Dónde puedes encontrar algo tan barato? Y la kufiya es mi regalo, te abrigará y tu abrigo también será el mío, amigo.

Después del insufrible paso por la aduana del aeropuerto Ben Gurion, de pagar un incomprensible exceso de peso y de las dos horas de espera hasta el despegue, Samuel se sentía a salvo en su butaca de clase business. Desde el aire divisó Tel-Aviv y la rectilínea costa mediterránea. Salah tenía razón, había sido una bagatela, las ropas que llenaban su maleta no fueron baratas, pero se llevaba mucho más que no había pagado. Samuel no sabía nada de la existencia de la sombra del alma y, por ese motivo, nunca entendió la razón del exceso de peso de su equipaje y de que, entre lo del zoco y la multa en el aeropuerto, todo estaba pagado.

La profundidad

a Peter Colwell. My friend, have a safe journey to your star.

Hace quince años que trabajo de conductor de naves planetarias o planechips, como dicen ahora los jóvenes, y nunca me había aburrido tanto como en este largo y último viaje. Desde hace tiempo, me ronda la idea de dejarlo, la profesión se ha degradado, ni siquiera somos pilotos – por supuesto que astronauta es demasiado arcaico -, simplemente somos conductores. Igual que los de los autobuses de La Revolución Tecnológica del siglo XX o los de los carros romanos. No, a aquellos los llamaban aurigas, qué hermosa palabra. Nosotros somos conductores. Realmente es así, las naves son automáticas, las trayectorias predeterminadas, casi está programado cuándo tengo que mear. No llego a comprender por qué habían decidido que cada nave llevase, al menos, un tripulante: el maldito conductor. Pero conductor de ¿qué? Si mi nave, La Suburbana, va completamente a su bola, ni me consulta cuándo pasa a ingravidez, aunque me avisa, no sea que me golpee con el panel de mando o me derrame el vaso de leche en el uniforme. Realmente no somos ni conductores, quizá testigos de cargo.

Cuando mi bisabuelo se hizo astronauta, allá por 2075, sí que eran buenos tiempos. La gente los respetaba, cada año, cada mes, descubrían nuevos horizontes. La colonización de Marte fue apasionante ¡Cuántos se estrellaron o perecieron en estaciones mal protegidas! Allí estaba él, Antonio Romero, llevando material para la construcción de Cydonia Mensae, la hermosa capital del planeta. Luego supimos que en realidad fue una reconstrucción. A la vista de los hallazgos arqueológicos de finales de aquel siglo, estaba claro que Marte había tenido vida inteligente antes de nuestra llegada o, más probablemente, nuestro retorno. Después fue más sencillo, el desarrollo de los campos de fuerza simplificó la defensa de las ciudades de la frecuente caída de meteoritos. Se fundaron Elysium Planitia, Vastitas y Cimmeria. Una vez estuve en Cimmeria, fue igual que viajar al pasado. En el siglo XXII fue el mejor centro de vacaciones del Sistema, la Nueva Las Vegas la llamaban. En su subsuelo se descubrieron grandes cuevas con lagos de agua cristalina y una atmósfera algo más oxigenada. Durante su esplendor, recibía miles de turistas adinerados que buceaban en sus lagos, jugaban en sus casinos y fornicaban en sus hoteles. Había de todo. Aunque, cuando yo estuve allí, ya era un sitio decadente, en parte transformado en Parque de Atracciones Históricas. Ahora los que pueden prefieren Ganímedes o el nuevo cinturón de Mercurio.

Sin embargo, hace veinte años las Agencias Espaciales entraron en bancarrota. Es difícil entender el capitalismo, yo lo único que sé es que si algo que se espera que crezca no crece, se muere por no crecer. Eso es lo que pasó. En el 2325 se publicaron los trabajos de Molenaar. El célebre Doble Cerrojo de Molenaar. El matemático y astrofísico venía a decir que el ser humano nunca podría viajar a más de 1/10 de la velocidad de la luz, incluso opinaba que esa cifra estaba lejos de lo que un ser humano normal pueda soportar, y que los agujeros de gusano son posibles pero inestables. Esa verdad caló en la gente. A los pocos días se empezó a extender una desilusión sin palabras entre los tripulantes. El tal Molenaar condenaba a los hombres a permanecer en su Sistema Solar. Era prácticamente imposible llegar en el lapso de una existencia a ninguna estrella que pudiera albergar vida, se debería viajar durante varias generaciones para lograr un contacto con un sistema estelar habitable. Nuestra esperanza de descubrir nuevas fronteras se había terminado. Lograríamos habitar todas las rocas del Sistema Solar, incluso crear estaciones gigantes como planetas o el Cinturón de Mercurio, pero nada de pasear fuera de la órbita de Plutón. ¿Para qué?

Las bolsas lo detectaron un poco más tarde y la reacción fue fulminante. Si no podíamos llegar más lejos, con lo que sabíamos nos bastaba y no era necesario invertir en más investigación espacial. Mejor dedicar los recursos a cosas más “terrenas”. Las Agencias Espaciales se arruinaron y las Inmobiliarias hicieron tres años históricos. Se levantaron inmensas fortunas vendiendo parcelas en Venus o en Titán. Desde entonces, hemos perdido hasta el nombre: conductores, tiene narices. El caso es que me decidí. He comprado una parcela en La Tierra, en un lugar muy hermoso llamado Asturias. De allí era mi bisabuelo Antonio, digamos que vuelvo a mis raíces. Al fin me liberaré de la triste sensación del Universo. Desde las ventanas de La Suburbana, el firmamento está lleno de estrellas y galaxias que nunca visitaremos. Es un universo cruel que nos dejaba ver su hermosura, pero nunca alcanzarla. El maldito Molenaar había transformado la emoción que la visión de las estrellas me producía, ahora tenía la sensación de ver una proyección de cine antiguo, en dos dimensiones, puesto que era evidente que nos había robado la profundidad.

EL ROCE DE TU PELO

Eran las nueve pasadas, la noche otoñal estaba llena de estrellas y, después de cenar y beber un poco de vino en la ruidosa tasca frente a la Iglesia, la fresca brisa que llegaba de la costa nos devolvía al silencio y la complicidad de la noche mientras paseábamos junto a las almenas de la muralla. Tus ojos brillaban también, era una luz más acuosa que la de Venus, que me hacía sentir como pez en la pecera. Eras el gato que observaba desde fuera como me iba humedeciendo. Me cogiste la mano y me acercaste hacia ti. Estabas sentada entre dos almenas de espalda al valle por el que corría el río. Mi cuerpo quedó entre tus piernas que poco a poco aumentaban la presión en mis costados, tu cabeza se apoyó en mi hombro, yo miraba el río oculto en la noche mientras acariciaba tu pelo, rozándote ligeramente la oreja con la palma de mi mano. La deslicé por tu cuello y comencé a besarte. Muy despacio, haciendo que sintieras mis labios abrazando los suyos, mi lengua buscando acariciar la tuya. Te besé largamente, mordiendo un poco el labio inferior, navegando con los ojos cerrados por tu boca de un sabor azul. Te acaricié el cuello y besé tus hombros y, en un par de ocasiones, deslicé una mano que avanzó como un caracol hacia tu pezón, sin llegar a tocarlo. Despacio desde la axila hacia el pezón, una, dos y tres veces.

– ¿Podríamos ir al hotel? – dijiste un poco temblorosa – me corren todos los gusanos por el cuerpo.
– ¡o podríamos hacerlo aquí!- te reté, mientras te cogía de la cintura y te atraía hacía mí, para que sintieras la dureza de mi sexo.
– Vale – contestaste rápidamente, como si te hubieran dado la señal de salida. Inmediatamente empezaste a desabrocharme el cinturón. Yo intenté separarme, pero tus piernas me abrazaron como un pulpo.
– Estás loca, era broma – me reí, pero tú insististe y pasaste tu mano por encima de mi pantalón buscándome. Afortunadamente, unos pasos te hicieron desistir.
– ¡Cobarde! – bromeaste – pero nos vamos ahora mismo al hotel.
– Te voy a comer hasta las uñas de los pies, mi amor – te respondí más tranquilo.

Mientras nos dirigíamos al hotel, nuestras caderas, nuestras piernas y nuestros brazos se rozaban levemente con cualquier excusa, una piedra, un giro en una esquina o gente que se cruzaba. Nuestros cuerpos comenzaban a reconocerse, a hablar entre ellos sin nuestro consentimiento. Nosotros disfrutábamos de la energía que estos roces derramaban por nuestro interior. La educación evitaba que nos amáramos allí mismo, sobre las piedras de la calle, sin embargo nos permitía disfrutar del lenguaje de nuestros cuerpos durante un tiempo que nos pareció eterno. Ese placer era sólo nuestro, nadie podía notarlo ni darse cuenta, cuando se cruzaban con nosotros, que ya habíamos empezado a hacer el amor.

Subimos a la habitación. Era amplia y cómoda, con una cama de dos metros de anchura. Un maravilloso ring para el placer. Entraste en el cuarto de baño. Esperaba que no te quitases el vestido. Llevabas una falda larga y una camiseta ceñida con muchas posibilidades eróticas. Prefería desnudarte yo y hacerlo en su momento preciso. Afortunadamente saliste radiante con tu falda y tu blusa dispuestas para mis manos. Te sentaste al borde de la cama. Yo me coloqué a tu espalda y comencé a acariciar tus hombros, haciendo caer los tirantes a los lados. Así desnudos, los hombros eran para quedarse en ellos un buen rato. Así que comencé a besarlos y a acariciarlos. Me levanté un momento para buscar una pinza del pelo. Te lo recogí en un moño dejando el cuello desnudo. Así podía besarlo también y lamer ese punto donde empieza a crecer el pelo. Tus manos me buscaban, las echabas hacia atrás y acariciabas mis muslos.

Te quité la camiseta y te hice levantar. Parecías una polinesia, con la falda como única prenda. Estabas muy hermosa. Te cogí de la mano y te hice girar. Te abracé por la espalda. Era una maravilla besarte el cuello mientras mis manos acariciaban tus pechos, evitando el pezón, acercándose, cogiéndole entre dos dedos, apretándole o acariciando su cima en pequeños círculos. Echaste hacia atrás la cabeza y comenzaste a gemir y tus gemidos eran para mí como las notas que un músico saca a su instrumento. En ese momento tú eras mi instrumento, cuando respirabas entrecortadamente o gemías o susurrabas palabras, mis labios, mis manos, todo mi cuerpo se acompasaba a tu música y comenzaba a interpretarla.

Te volviste y comenzaste a desnudarme mientras me besabas cada parte que quedaba al descubierto. Primero el pecho derecho, un costado, los hombros y entre descubrimiento y descubrimiento, me besabas los labios y rozabas los míos con tu lengua. Me quitaste los pantalones y cuando te agachaste para ver de cerca como me bajabas los calzoncillos, te hice incorporar.

– No, hoy es mi cumpleaños y me has prometido que haríamos lo que yo quisiera – te dije, sujetando tus muñecas – Y lo que hoy quiero es hacerte el amor yo a ti, como dices tú: te quiero cocinar y tú eres la masa, porque quiero hacer pan con tu cuerpo.

Suspiraste y te dejaste caer en la cama. Tus piernas colgaban al borde haciendo que se levantase tu cadera. Salté al suelo y me arrodillé entre tus piernas. Deslicé mis manos por la abertura de la falda, te acaricie los muslos, desde la rodilla bajando por el interior del muslo hasta la tela blanca de tus bragas. Te besé entre los pechos. Tú me arrastraste hacia tu boca. Me besaste como nunca lo habías hecho. Tu lengua se introdujo en mí y combatió con la mía en mi boca, nos chupamos los labios y la lengua hasta enrojecer. Tu pubis se apretaba contra mi pene completamente erecto.

– Un momento, por favor – te pedí – vamos por temas. Déjame que primero me dedique a tu espalda.
– ¡Humm! – murmuraste mientras te dabas la vuelta.

Siempre que veo tu espalda me sorprende su hermosura. Es suave a la mano y al beso, y en sus dos extremos hay lugares que te hacen sonar como un Steinway bien afinado: el cuello, donde no puedo insistir demasiado porque te enervas, o las redondeces y oquedades de tus nalgas, donde podría dormir y soñar durante cien años. Esa noche bese toda la espalda, empezando por la cintura, subiendo hacia el cuello y luego bajando hasta el canal de tu culo. Empecé a lamerte cada vértebra, intentando entrar con mi lengua en tus nervios, fui subiendo, primero las lumbares, dorsales y luego el cuello, al mismo tiempo mis manos recorrían tus costado y hacían círculos a los lados de tus pechos. Empecé a moverme al ritmo de tus respiraciones, me detenía un poco, si te quejabas o movías tu cabeza, para prolongar tu placer.

Me recosté a tu lado, quería disfrutar de tus caderas. Comencé a comerte la suave piel de tus nalgas, las lamí como si fuera la sal de la vida, recorrí con mi lengua el estrecho canal que las separa. Mis manos acariciaban tus inglés y la parte interior de los muslos. Cuando mis dedos rozaron el pelo de tu sexo, levantaste ligeramente la cadera, lo suficiente para que mi mano pudiera acariciarlo con suaves círculos. Mientras mis dedos recorrían los labios de tu sexo y giraban en los bordes de su entrada, te besé en esa otra entrada, tan estrecha y perfecta como una boca fruncida. Lamí suavemente su círculo que se dilató por un instante. Te quejaste, pero no insistí. Todavía quedaba mucho camino por recorrer. Me incorporé ligeramente y cogí un bote de aceite de la mesilla de noche. Eché aceite sobre tu espalda y lo extendí con las palmas de las manos muy abiertas. Durante un rato patiné con dedos y manos por la pista de tu espalda, así te relajaba un poco de la tensión anterior. Ya no gemías ni hablabas, pero ronroneabas como un gato. Seguí con tus piernas y me detuve en los pies. Antes de darte aceite, chupé tus dedos, uno a uno, intentando que el placer no fuera demasiado intenso para que lo resistieses bien.

– Date la vuelta – te pedí con la respiración entrecortada. Estaba muy excitado. Cuando te giraste miraste mi pene. Estaba completamente rígido y sonreíste.
– Ya ves, mi segundo cerebro está totalmente despierto.

Te incorporaste un poco y lo besaste y acariciaste con las dos manos como si guardases un nido de pájaros. Te empujé con suavidad sobre la cama y te bese en la boca durante un buen rato. Mis manos no paraban quietas, despacio iban recorriendo tu pecho. Cuando me acercaba al pezón y lo acariciaba, tu espalda se arqueaba un poco y tus piernas se juntaban, y girabas tu cadera. Tu sexo empezaba a tener hambre. Levantaste los brazos sobre tu cabeza y yo te besé las axilas y recorrí esas líneas de tu pecho que son como cuerdas de koto. Así sonaba tu voz igual que prolongadas y limpias notas que me ayudaban a no perder la línea del placer. Me incliné sobre tu pecho y lamí el pezón derecho despacio, primero por arriba y después en la parte inferior para acabar sorbiendo y apretando con mi lengua su botón. Después el izquierdo, mientras continuaba masajeando el otro pezón con mis dedos. Una corriente de energía pasó directa de tu corazón a mi cerebro, la chispa saltó entre la punta de mi lengua y la plana cumbre del pezón. Una gota de leche imposible se depositó en mis labios. Tu excitación me contagiaba, casi no podía contenerme.

Tomé un respiro, eché unas gotas de aceite sobre tus pechos. Mis manos empezaron a patinar sobre tu piel, ya muy sensible, produciendo un casi inaudible !ooooh¡ de tus labios. Por tu vientre dibujé círculos, apretando ligeramente en el regazo, como si quisiera estar dentro de ti, nadar dentro de ti.

Abrí tus piernas, el sexo parecía un animal que durmiera entre tus blancas ingles, me arrodillé entre ellas para poder mover mis manos a la vez por tus costados. Repetí las mismas caricias, unas veces más rápidas, otras más intensas, hasta que no pude ignorar por más tiempo tu sexo. Puse una mano sobre él, como si fuera una concha que le protegiera. Estaba caliente y húmedo, palpitaba excitado y me iba mojando desde la piel de los dedos hasta el último pliegue de mi cerebro. Tú humedad es más embriagadora que el sochu o el rioja, cuando me toca, me cuesta mantener el control, me lanzaría dentro de ti, entero, te invadiría todos los órganos y me quedaría durmiendo en ti. Mientras, con una mano, apretaba tu sexo y hacía un suave movimiento giratorio, la otra acariciaba tu pecho golpeando con los dedos un lado y con el pulgar girando sobre el pezón. Mi boca buscó la tuya, cuando nuestras lenguas comenzaron a jugar, mis dedos hicieron lo mismo y fueron recorriendo los labios de tu vagina, dejando que se abriesen como pétalos de una flor extraña. Estuve besándote y masturbándote hasta que no pudiste mantener tu boca pegada a la mía, el placer hacía que tu cabeza girase de un lado a otro y que tu rostro descompusiera el gesto hasta parecer que sufrías. Me detuve.

-¡Oh! ¿Por qué te paras? – te quejaste
– ¡Chiss! No me paro, es sólo un escalón más, ten paciencia – te susurré al oído.

Cogí un pañuelo y te até las muñecas, tus brazos estaban extendidos sobre tu cabeza. Te pedí que estuvieras completamente quieta, concentrada en tu placer. Te besé la barbilla y bajando recto desde ella, pasé entre tus pechos hasta llegar al ombligo que besé con más intensidad. Luego lamí todo tu vientre. Mis brazos te rodeaban las caderas y mis manos se agarraban a tu cintura. El pelo de tu sexo me hizo cosquillas en el cuello, y ya no pude más. Tiré de tus piernas hasta colocarte al borde de la cama. Me senté en el suelo, tu sexo quedaba justo a la altura de mi boca. Me sumergí con un beso prolongado entre los labios, saboreando el generoso licor. Tú te quedaste muy quieta, abriste un poco más las piernas ofreciéndote entera. Mi lengua te agradeció tanto deseo. Lamió los labios y giró plana sobre tu clítoris, sin tocarlo directamente todavía. Te arqueaste como una katana. Mis manos recorrían tu columna, ayudando a que el placer que se concentraba en tu sexo, se extendiese por la espina dorsal hasta inundar tu espalda, tu cuello y tu cerebro. Entonces comencé a chupar y rodear el clítoris, lo hacía al ritmo de tu cuerpo.

– Sí, si – murmurabas

Con una mano comencé a acariciar la entrada de la vagina, mientras mi lengua seguía su trabajo. Estabas casi a punto, pero yo prolongaba el placer acariciando más lentamente. Mis dedos entraron en ti, sintieron el músculo suave del amor, palpitaba y se contraía preparado para recibirme. Yo estaba casi enloquecido, seguí chupándote sin descanso, mientras con dos dedos acariciaba tu interior. Lamí tus ingles, tu ano, tu sexo y hubiera estado así hasta el amanecer. Era como estar en trance, tu placer alimentaba el mío y lo prolongaba. Pero mi organismo comenzaba a protestar, mi cuerpo quería descargar el semen que se mantenía guardado a presión, una presión cada vez más incontrolable.

– ¿Puedes entrar en mí? – me pediste.
– Sí, mi amor, estaba deseando estar dentro de ti.

Me incorporé. Me incliné para besarte en un hombro y mi sexo encontró el tuyo con un roce que nos hizo temblar. Te desaté y me arrodillé en el suelo y jugué con mi sexo en la entrada del tuyo y con suavidad acaricié el clítoris. Entré despacio, primero la cabeza y luego el cuerpo, lentamente hasta el fondo, porque estabas preparada y la piel de tu interior era suave y firme. Apenas nos movíamos, sentía tus músculos, como los de una garganta que quisiera tragarme, palpitaban y mi sexo respondía palpitando. Tus manos se apretaban sobre tus pechos y las mías se agarraban a tus caderas. Empezaste a acariciar tu sexo y el mío, unidos en su abrazo interior.

– Más rápido – pediste, mientras tus ojos buscaban los míos.

Entonces, sin salir de ti, te arrastré al borde de la cama. Yo quedé sentado sobre mis rodillas dobladas, tú estabas sobre mí, enraizada en mi pene, y con la espalda curvada sobre el borde de la cama. Sufrías y decías muy bajito, sí, sí, mírame quiero verte sufrir, te quiero…Pero yo seguía palpitando dentro de ti, casi sin moverme. Mis manos apretaban tus pechos y tú te acariciabas abajo. Te besé, otra vez en el hombro, clavé mis dientes y tú me arañaste la espalda. Te levanté un poco por las caderas y te dejé caer sobre mi pene, repetí el movimiento y tú pediste más energía.

– Mírame – casi gritaste – quiero ver como llegas.

Cuando dos ríos se juntan forman uno más caudaloso, así nos unimos, nuestras miradas fueron las primeras en darse cuenta de la intensidad de esa clase de muerte y nacimiento. Cada uno de nosotros vio la cara de sufrimiento en el otro y le amó más por eso. Después los ojos se entornaron y comenzaron las convulsiones. Tu vientre se curvó hacia adentro y luego se abombó rozando el mío. Al mismo tiempo te incorporaste y te abrazaste a mí clavando tus dedos en mis hombros. Yo grité algo, oooh¡ quizá o un te quiero ininteligible. Sólo recuerdo que me vaciaba en ti, y de esa forma terminaba la intensidad del placer y el sufrimiento. Golpeé con mi cadera la tuya, queriendo entrar aún más para regar tu interior con mi vida.

Terminamos juntos. Quedamos así abrazados. Tú sentada sobre mí, y mi sexo palpitando dentro del tuyo. De vez en cuando me besabas el pene con la boca de tu sexo. Yo olía tu pelo con intensidad y te besaba en el hombro, justo donde empieza el cuello. Besos blandos y dormidos. Mis manos relajaban tu espalda, casi acunándola. Pusiste la cabeza sobre mi hombro y te quedaste medio dormida, abrazada a mí como un koala. Estuve muchas horas sintiendo el roce de tus pechos cuando respirabas, sintiéndote palpitar por dentro mientras acompañaba tu sueño con alguna caricia, con algún roce en tu pelo. Quise detener el tiempo, pero el tiempo es sabio y siguió su camino evitando que, por la postura, terminara con lumbalgia.